第8回 Laplace方程式と境界値問題 (1/2)


複数の導体に電位や電荷を与えた場合、その導体で囲まれた空間内の 電位分布を、与えられた境界条件を満足するように求めることを境界 値問題を解くといいます。電位は Poisson 方程式あるいは Laplace 方程式を解くことにより決まります。

偏微分方程式の境界値問題を解くことは、解析解を求めるにしろ数値的 に解くにしろ一般には困難ですが、ある特定の場合については比較的簡単 に行うことができます。

今回は変数分離解が存在する場合を考えます。 この場合、容易に解析解を求めることができますから、Laplace方程式 と境界値問題に慣れてもらうことが今回の主題です。

a) Laplace方程式を解く(カーテシアン座標系)

次の問題を考えます。

x=0 と x=a に電極板が平行に置かれてあり、それぞれ陰極と陽極とします。 陽極は電位 φ=φ0 に保たれ、陰極は接地されてφ=0 になっています。 陰極と陽極の間には、y=0 と y=b に導体板があり、これらも 接地されています。 x-y 平面上ではこれら4枚の導体板によって長方形が形成されている ものとして、この長方形内部の電位分布を求めなさい。

この問題は、Laplace方程式

を、与えられた条件

を満たすように解くことと解釈できます。 Laplace 方程式の一般解を求め上の条件を満たす解を作り その電位を Mathemtatica で描いてみたいと思いますが、前回までの授業でも経験したように、 「Mathematicaで計算させる前に、可能な限り手で計算を進める」 というのが鉄則です。そこで以下ではまず、 Mathematicaを使わずに、解の形がどのようになるかを見ていきたいと思います。 (Mathematicaではなく、できれば手元で紙に式を書いて、計算を追ってみてください。)

Laplace 方程式をを満たす電位φ(x, y) は 今の場合、φ(x, y) = X(x) Y(y) と変数分離することが 可能です。このとき、Laplace方程式は以下の 2つの常微分方程式

になります。ここで、α,βα22=0 を満たす(一般には)複素数です。 X(x)Y(y)の一般解は指数関数になりますので、 それを用いると電位φ(x,y)は以下のように書けます。

です。いま、αβα22=0 を満たしさえすれば何でも 良いのでパラメータとしての依存性を任意(未定)係数 A(α),B(α),C(β),D(β)、電位φ(x,y;α,β)の様に あらわに書いておきます。もっと一般にはいろいろな αβ の組合せを重ね合わせたものが一般解になります。

ここでは形式的に和の記号を使いましたが、一般には積分になること もあります。

さて、あとは任意係数を境界条件から決定してやるだけです。 まず、条件式のうち一番目と三番目の φ(x,0)=0, (0<=x<=a) φ(0,y)=0, (0<y<b) より、C(β)+D(β)=0A(α)+B(α)=0 が分かります。これを用いてD(β)B(α)を消去すると、

更に二番目の条件式、φ(x,b)=0, (0<=x<=a)より eβ b - e-β b=0 が得られます。この条件を満たすβ

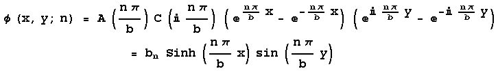
となります。ここで n は整数(...,-2,-1,0,1,2,...)です。 βn依存性をあらわに示すため添字をつけました。 これから、 α22=0 をもちいると、ααn= n π/ b です。 もはや、α、βは連続的な値を取ることは出来ないようです。 これらの条件をφ(x,y;α,β) に代入すると、

です。未定係数の積A(n π/b)C(i n π/b)や指数関数から Sinh、Sin関数への変換ででてくる係数 はまとめてbn とおきました。 したがって 第一、二、三の境界条件を満たす一般解は、 (上の解を可能なn(整数)について重ね合わせる事により)

となります。(負の整数についての和は正の整数についての和と まとめてしまって、未定係数bnを再定義しました。)

最後に第四の境界条件 φ(a,y)=φ0, (0<y<b) を代入すると、

となります。これは φ0 をフーリエ級数展開したものとみなすことができます。 bn は直交関数系の性質より

となって、これですべての係数を決定することができました。

さて、具体的な値は定積分する必要がありますが、これを手でやるのは大変ですし、ぱっと見で どのようにすればよいかわからないので、ここから Mathmatica を使うことにしましょう。 定積分は Mathematica では Integrate[ hogehoge, {y, 0, b} ] と表します ので、これを実行すると以下のようになります。

最後の入力にある //は関数の後置形 (詳しくは説明しませんでしたが第1回で登場しました。)の意味で、

と同じことです。出力を見てそれを簡約化したい場合など、 あとからつけたす時に便利です。また、 Integrate[hogehoge, {y, 0, b} ] はパレットを利用して

などと入力しても構いません。多少面倒くさいですが、見た目がわかりやすい と思います。

b) 視覚化

どんな解が求まったのか、いつものようにお絵描きしてみましょう。 a=1, b=2, φ0=1 と取ります。

vn[ n, x, y ] は n 項目の電位成分です。 これを使って電位φ(x, y)は

で表されますが、無限級数の和をそのまま計算することはできないので、 40 項目までの和で近似します。 (40を cutoff と呼びます。) Mathematica では 和を Sum[ hogehoge, {n,1,40} ] と書く ので、


などとプロットできます。Sum[ ] もパレットを利用すれば、

と入力することができます。

陽極上の電位は φ(x, y)=φ0 ( =1) のはずですが、上の図を見ると電位は1の周りでなんだか ギザギザして見えます。これは、無限項の和を有限項の和で近似 したために生じているのです。 比較のために、和を20項目まででとめた場合と80項目まで取った場合で 陽極上の電位をプロットしてみると、


となります。PlotStyleではグラフの色を指定しています。 cyan(明るい水色) が20項目までの和で近似した場合で、magenta(明るい紫) が80項目までの和で近似した場合です。80項目まで取ったほうが真の状態 φ(x, y) = φ0 (=1) に近づいていることがわかると思います。 なお両端でブレが大きいのは、与えた境界条件が両端では電位が0、 それ以外では1という不連続なものだったからです。

第3回「電位の視覚化」で行ったように等電位面(ContourPlot) を見てみたり、第4回「電場の視覚化」で行ったように電位から 電場を求めて電場の様子を見ることも出来ます。


Home Top Back Next